Физический смысл производной функции
Физический смысл производной — понятие в математике
Производная функции является понятием дифференциального исчисления, определяющее скорость изменения функции в конкретной точке.
Производную функции рассчитывают, как предел отношения приращения функции к приращению ее аргумента при стремлении приращения аргумента к нулевому значению при условии наличия такого предела. Функция, которая обладает конечной производной в какой-то точке, называется дифференцируемой в этой точке.
Дифференцирование — процесс расчета производной.
Осторожно! Если преподаватель обнаружит плагиат в работе, не избежать крупных проблем (вплоть до отчисления). Если нет возможности написать самому, закажите тут.
Интегрирование — процесс, обратный дифференцированию, заключается в нахождении первообразной.
Физический смысл производной заключается в том, что скорость материальной точки в конкретное время \(t_{0}\) определяется, как производная закона движения \(s(t_{0})\) данной точки в определенный момент времени \(t_{0}: v(t_{0})=s^{,}(t_{0})\)
В чем заключается для производной функции первого и второго порядка
Производная первого порядка функции \(y=f(x)\) которая задана явно, определяется по таблице производных. Используют следующие данные:
Также в расчетах применяют правила дифференцирования или нахождения производных:
- Константа может быть вынесена за знак производной: \((c*u(x))^{,}=c*(u(x))^{,}\)
- Производная суммы или разности определяется таким образом: \((u\pm v)^{,}=u^{,}\pm v^{,}\)
- Производная произведения: \((u* v)^{,}=u^{,}*v+ v^{,}*u\)
- Производная частного двух функций: \((\frac{u}{v})^{,}=\frac{u^{,}v-uv^{,}}{v^{2}}\)
В том случае, когда функция y = y(x) задана параметрически в виде:
Где t является параметром, то первая производная данной функции будет определяться, согласно уравнению:
\(y^{,}(x)=\frac{y^{,}_{t}}{x^{,}_{t}}\)
В том случае, когда функция y = y(x) задана неявно, уравнение F(x;y(x)) = 0 или F(x;y(x)) = G(x;y(x)), для определения первой производной \(y=y^{,}(x)\) необходимо руководствоваться правилами. Вначале следует выполнить дифференцирование левой и правой части заданного равенства:
\((F(x;y(x)))^{,} = (0)^{,}\)
или
\((F(x;y(x)))^{,} = (G(x;y(x)))^{,}\)
Затем требуется найти производные от каждой из частей уравнения с помощью таблице производных и правил дифференцирования с учетом, что y является сложной функцией. Далее из полученного равенства выражают \((y)^{,}\)
Если рассмотреть дифференцируемую на (а;b) функцию y = f(x), то можно отметить, что ее производная \((y)^{,}\) также является функцией аргумента х. После повторного дифференцирования данной функции получится вторая производная функции y = f(x):
\(y^{,,}=(y^{,})^{,}\)
Таким образом, производная второго порядка представляет собой первую производную от производной первого порядка.
Как решать, примеры задач с пояснениями
Требуется определить мгновенную скорость перемещения материальной точки в момент времени \(t_{0}=2\) с, когда ее движение описывает закон \(s(t)=4t^{2}+2t+1\)
Решение:
Скорость точки определяется производной пути по времени:
\(v(t)=s^{,}(t)=(4t^{2}+2t+1)^{,}=8t+2\)
Мгновенная скорость точки в момент времени \(t_{0}=2\) с равна:
\(v(t_{0})=v(2)=8*2+2=18\)
Ответ: мгновенная скорость движения материальной точки равна 18 м/с.
Прямолинейное движение очки описано законом \(s(t)=3t^{2}-3t-5.\) Требуется определить момент времени, в который скорость точки достигнет значения v = 3 м/с.
Решение:
С помощью физического смысла производной, можно определить закон изменения скорости материальной точки:
\(v(t)=s^{,}(t)=(3t^{2}-3t-5)^{,}=6t-3\)
Для того чтобы рассчитать момент времени \(t_{0}\) со скорость в 3 м/с, требуется записать и найти решение уравнения \(v(t_{0})=3\)
\(6t_{0}-3=3\)
\(t_{0}=1\)
Ответ: момент времени равен 1 с.
Требуется найти производную функции, которая задана явно:
\(y=x^{2}-3x+\frac{x}{x+1}\)
Решение:
Искомая производная имеет следующий вид:
\(y^{,}=(x^{2}-3x+\frac{x}{x+1})^{,}\)
Производная суммы или разности функций определяется, как сумма или разность их производных:
\(y^{,}=(x^{2})^{,}-(3x)^{,}+(\frac{x}{x+1})^{,}\)
Производную первого слагаемого можно определить с помощью таблицы производных, как производную степенной функции \((x^{n})^{,}=nx^{n-1}\)
Таким образом:
\((x^{2})^{,}=2x^{2-1}=2x\)
Во втором слагаемом, исходя из свойства производных, требуется вынести константу 3 за знак производной:
\((3x)^{,}=3*(x) ^{,}\)
Далее необходимо найти производную по ранее записанной формуле производной степенной функции:
\((3x)^{,}=3*(x) ^{,}=3*(x^{1}) ^{,}=3*1*x^{1-1}=3*x^{0}=3*1=3\)
Производную третьего слагаемого можно определить в виде производной частного по формуле:
\((\frac{u}{v})^{,}=\frac{u^{,}v-uv^{,}}{v^{2}}\)
Если u=x, v=+1, то:
\((\frac{x}{x+1})^{,}=\frac{(x)^{,}*(x+1)-x*(x+1)^{,}}{(x+1)^{2}}=\frac{1*(x+1)-x*\left[(x)^{,} +(1)^{,}\right]}{(x+1)^{2}}=\frac{1}{(x-1)^{2}}\)
В случае заданной функции получается:
\(y^{,}=2x-3+\frac{1}{(x-1)^{2}}\)
Ответ: \(y^{,}=2x-3+\frac{1}{(x-1)^{2}}\)
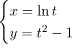
Требуется найти первую производную функции, которая задана параметрически:
Решение:
Исходя из формулы, требуется определить производные для каждой функции относительно параметра t:
\(x^{,}_{t}=(ln t)^{,}_{t}=\frac{1}{t}\)
\(y^{,}_{t}=(t^{2}-1)^{,}_{t}=(t^{2})^{,}_{t}-(1)^{,}_{t}=2t-0=2t\)
В таком случае, искомая производная равна:
\(y^{,}(x)=\frac{y^{,}_{t}}{x^{,}_{t}}=\frac{2t}{\frac{1}{t}}=2t*t=2t^{2}\)
Ответ: \(y^{,}(x)=2t^{2}\)
Требуется определить производную второго порядка функции:
\(y=x^{3}-4x+13\)
Решение:
Определить вторую производную можно, если вначале найти производную второго порядка:
\(y^{,}=(x^{3}-4x+13) ^{,}\)
Исходя из свойства линейности, получим:
\(y^{,}=(x^{3})^{,}-4*(x) ^{,}+(13) ^{,}=3x^{2}-4*1+0=3x^{2}-4\)
В таком случае, искомая вторая производная будет равна:
\((3x^{2}-4)^{,}=3*(x^{2})^{,}-(4)^{,}=3*2x-0=6x\)
Ответ: \(y^{,}=6x\)
Требуется определить производную \(y^{,}\) функции, которая задана неявно с помощью уравнения:
\(x^{2}+xy-\cos y=x\)
Решение:
Необходимо дифференцировать две части заданного равнения:
\((x^{2}+xy-\cos y)^{,}=x^{,}\)
Исходя из правил дифференцирования и таблице производных, получим следующее уравнение:
\((x^{2})^{,}+(xy)^{,}-(\cos y)^{,}=1\)
\(2x+(x)^{,}*y+x*(y) ^{,}-(-\sin y)(y)^{,}=1\)
\(2x+1*y+x*(y)^{,}+\sin y*(y)^{,}=1\)
\(2x+y+x*y^{,}+\sin y*(y)^{,}=1\)
Согласно полученному выражению, можно определить \(y^{,}\)
\((x+\sin y)*y^{,}=1-2x-y\Rightarrow y^{,}=\frac{1-2x-y}{x+\sin y}\)
Ответ: \(y^{,}=\frac{1-2x-y}{x+\sin y}\)
Заметили ошибку?
Выделите текст и нажмите одновременно клавиши «Ctrl» и «Enter»
Нашли ошибку?
Текст с ошибкой:
Расскажите, что не так


